• Предмет: Математика
  • Автор: hehdbfhejfbfjxb
  • Вопрос задан 2 года назад

вычислить и записать ответы помогите пж даю 40 баллов​

Приложения:

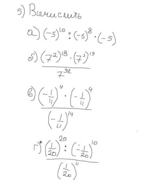
ГАЗ52: У вас во всех примерах одинаковые основания. Эти основания с разными степенями либо ДЕЛЯТСЯ, либо УМНОЖАЮТСЯ. Для них есть правило- знаете?
ГАЗ52: a) (-5)^10: (-5)^8• (-5)=(-5)^(10-8+1)=(-5)^3=
=-125

Ответы

Ответ дал: liftec74
1

Ответ:

Пошаговое объяснение:

a)(-5)^1^0:(-5)^8*(-5)=(-5)^1^0^-^8^+^1=(-5)^3=-125\\\\b)\frac{(7^2)^1^8*(7^3)^1^9}{7^9^2}=\frac{7^(^2^*^1^8^)^+^(^3^*^1^9^)}{7^9^2} =\frac{7^3^6^+^5^7}{7^9^2} =\frac{7^9^3}{7^9^2} =7\\

c) \frac{(-\frac{1}{4}) ^4*(-\frac{1}{4}) ^4}{(-\frac{1}{4}) ^1^4} =\frac{(-\frac{1}{4}) ^8}{(-\frac{1}{4}) ^1^4} =(-\frac{1}{4}) ^-^6 =4^6=4096

d)\frac{(\frac{1}{20}) ^2^0 : (-\frac{1}{20}) ^1^0}{(\frac{1}{20}) ^1^1} =\frac{(\frac{1}{20}) ^2^0^-^1^0}{(\frac{1}{20}) ^1^1} =\frac{(\frac{1}{20}) ^1^0}{(\frac{1}{20}) ^1^1} =(\frac{1}{20}) ^-^1 =20

Вас заинтересует