• Предмет: Химия
  • Автор: xumay224
  • Вопрос задан 2 года назад

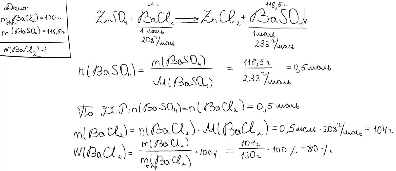
При действии избытка раствора цинкового купороса на 130 г хлористого бария образовался осадок массой 116,5 г. Вычислите массовую долю (%) чистого вещества в указанном веществе. (Запишите число с точностью до десятых.)​


Аноним: Кинувідповідь в тг hto_admin
Abubachir555: данные задачи неверны, осадок образуется массой 145,625г, что не удовлетворяет условию задачи
Abubachir555: а нет, все верно, просто условие непонятно записано, сейчас решу
xumay224: да не,всё верно. в условии дано 116,5, мы получаем 145,6. там хотят чистое вещество в процентах. 116,5/145,6 ×100 получается приблизительно 80%
Abubachir555: не приблизительно, а првно
Abubachir555: тут нужно bacl2 найти, а не baso4
Abubachir555: если ты разделишь так кстати, то тебе двойку поставят и всё. Ты делишь массу, которая в теории должна быть больше на ту, которая должна быть меньше
Abubachir555: ты поделил практическую массу на теоретическую, а так нельзя
Abubachir555: понял?
Abubachir555: смотри решение, я скинул

Ответы

Ответ дал: bahytgulsabdenova302
0

Ответ:

Массовая доля чистого вещества в указанном веществе составляет около 89,6%.

Объяснение:

Чтобы вычислить массовую долю чистого вещества в указанном веществе, мы должны рассмотреть химическую реакцию, которая происходит между цинковым купоросом (ZnSO₄) и хлористым барием (BaCl₂).

Уравнение реакции выглядит следующим образом:

ZnSO₄ + BaCl₂ → BaSO₄ + ZnCl₂

Из уравнения видно, что образуется осадок бариевого сульфата (BaSO₄), в то время как хлорид цинка (ZnCl₂) остается в растворе.

Из условия задачи известно, что масса образовавшегося осадка равна 116,5 г. Мы можем предположить, что этот осадок состоит только из бариевого сульфата. Таким образом, массовая доля бариевого сульфата в указанном веществе составляет 116,5 г.

Массовая доля чистого вещества может быть рассчитана с использованием следующей формулы:

Массовая доля (%) = (масса чистого вещества / масса образца) × 100

Масса чистого вещества в данном случае равна массе бариевого сульфата, то есть 116,5 г. Масса образца равна массе хлористого бария, которая составляет 130 г.

Подставляя значения в формулу, получим:

Массовая доля (%) = (116,5 г / 130 г) × 100 ≈ 89,6%

Таким образом, массовая доля чистого вещества в указанном веществе составляет около 89,6%.


xumay224: у меня тоже 90 получилось, в ответах 80 дали
Ответ дал: Abubachir555
0

Удачи!!!!!!!!!!!!!!!!!!!!!!!!

Приложения:

xumay224: спасибо!
Вас заинтересует