• Предмет: Алгебра
  • Автор: sw3toff
  • Вопрос задан 2 года назад

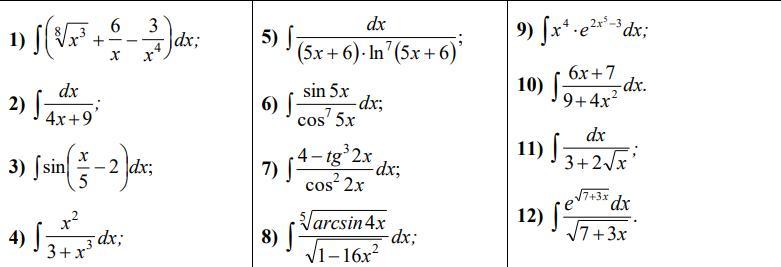
Даю 100 баллов. Знайти невизначені інтеграли
Сделать надо 2,5,11,12

Приложения:

Ответы

Ответ дал: polarkat
1

\int{\dfrac{1}{4\,x+9}}{\;\mathrm{d}x}\overset{4x+9=u}{=}\int{\dfrac{1}{4\,u}}{\;\mathrm{d}u}=\dfrac{\ln\left(\left|u\right|\right)}{4}+C=\dfrac{\ln\left(\left|4\,x+9\right|\right)}{4}+C

\int{\dfrac{1}{2\,\sqrt{x}+3}}{\;\mathrm{d}x}\overset{2\sqrt{x}+3=u}{=}\int{\dfrac{u-3}{2\,u}}{\;\mathrm{d}u}=\dfrac{1}{2}\int{\left (1-\dfrac{3}{u}  \right )}{\;\mathrm{d}u}=\dfrac{u}{2}-\dfrac{3\,\ln\left(\left|u\right|\right)}{2}+C=\\=\sqrt{x}-\dfrac{3\,\ln\left(2\,\sqrt{x}+3\right)}{2}+C

\int{\dfrac{{e}^{\sqrt{3\,x+7}}}{\sqrt{3\,x+7}}}{\;\mathrm{d}x}\overset{3x+7}{=}\int{\dfrac{{e}^{\sqrt{u}}}{3\,\sqrt{u}}}{\;\mathrm{d}u}\overset{\sqrt{u}=v}{=}\dfrac{1}{3}\int{2\,{e}^{v}}{\;\mathrm{d}v}=\dfrac{2\,{e}^{v}}{3}+C=\dfrac{2\,{e}^{\sqrt{u}}}{3}+C=\\=\dfrac{2\,{e}^{\sqrt{3\,x+7}}}{3}+C

\int{\dfrac{1}{\left(5\,x+6\right)\,\ln^{7}\left(5\,x+6\right)}}{\;\mathrm{d}x}\overset{5x+6=u}{=}\int{\dfrac{1}{5\,u\,\ln^{7}\left(u\right)}}{\;\mathrm{d}u}\overset{\ln u=v}{=}\dfrac{1}{5}\int{\dfrac{1}{{v}^{7}}}{\;\mathrm{d}v}=\\=\dfrac{1}{5}\cdot\left(-\dfrac{1}{6\,{v}^{6}}\right)+C=-\dfrac{1}{30\,{v}^{6}}+C=-\dfrac{1}{30\,\ln^{6}\left(u\right)}+C=-\dfrac{1}{30\,\ln^{6}\left(5\,x+6\right)}+C


sw3toff: Благодарствую
Вас заинтересует