Ответы
Ответ дал:
2
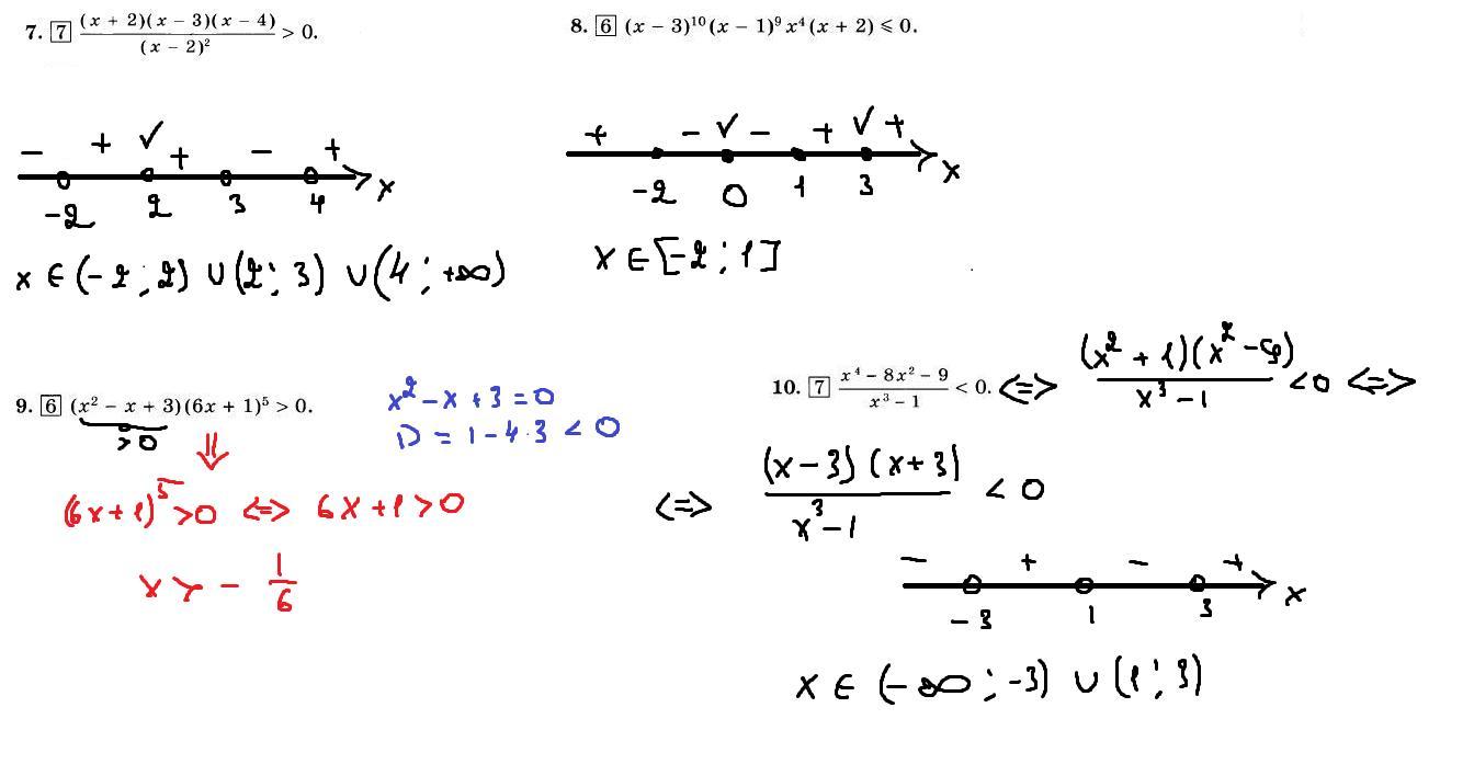
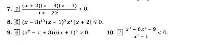
Это называется метод интервалов. Когда я на прямой ставил над точками галочки, то это означало, что чередование знаков останавливается. Галочка ставится тогда, когда мы видим чётную степень!
Приложения:

485622:
ты молодец
Вас заинтересует
1 год назад
1 год назад
2 года назад
2 года назад