• Предмет: Алгебра
  • Автор: nick1991162
  • Вопрос задан 1 год назад

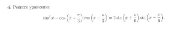
Помогите решить уравнение

Приложения:

Ответы

Ответ дал: polarkat
0

\cos^4x-\cos\left ( x+\frac{\pi}{3} \right )\cos\left ( x-\frac{\pi}{3} \right )=2\sin\left ( x+\frac{\pi}{6} \right )\sin\left ( x-\frac{\pi}{6} \right )

Мы воспользуемся формулами

\sin a\sin b=\frac{1}{2}\left ( \cos(a-b)-\cos(a+b) \right )\\\cos a\cos b=\frac{1}{2}\left ( \cos(a-b)+\cos(a+b) \right )

2\sin\left ( x+\frac{\pi}{6} \right )\sin\left ( x-\frac{\pi}{6} \right )=\\=\cos\left (  x+\frac{\pi}{6}-x+\frac{\pi}{6} \right )-\cos\left ( x+\frac{\pi}{6}+x-\frac{\pi}{6} \right )=\frac{1}{2}-\cos 2x\cos\left ( x+\frac{\pi}{3} \right )\cos\left ( x-\frac{\pi}{3} \right )=\\=\frac{1}{2}\left ( \cos\left ( x+\frac{\pi}{3}-x+\frac{\pi}{3} \right )+\cos\left ( x+\frac{\pi}{3}+x-\frac{\pi}{3} \right ) \right )=\frac{1}{2}\left ( -\frac{1}{2}+\cos 2x \right )

\cos^4x-\frac{1}{2}\left ( -\frac{1}{2}+\cos 2x \right )=\frac{1}{2}-\cos 2x\Leftrightarrow \cos^4x+\frac{1}{2}\cos 2x-\frac{1}{4}=0\Leftrightarrow \\\Leftrightarrow \cos^4x+\cos^2x-\frac{3}{4}=0\Leftrightarrow \left ( \cos^2x-\frac{1}{2} \right )\left ( \cos^2x+\frac{3}{2} \right )=0\overset{\cos^2x\in [0,1]}{\Rightarrow }\\\Rightarrow \cos^2x=\frac{1}{2}\Leftrightarrow \cos x=\pm \frac{1}{\sqrt{2}}\Rightarrow x=\left \{ \pm\frac{\pi}{4}+2\pi k,\pm \frac{3\pi}{4}+2\pi k \right \},k \in\mathbb{Z}

Вас заинтересует