У двох сплавах маси міді й цинку відносяться як 4:1 і 1:3. Після того як сплавили 10 кг першого сплаву, 16 кг другого сплаву і кілька кілограмів чистої міді, отримали сплав, у якому маси міді й цинку відносяться як 3 : 2. Знайдіть масу нового сплаву.
Ответы
Сначала определим сколько в первом сплаве меди и цинка: и
меди и цинка
Во втором сплаве будет меди и
цинка
Пусть - вес чистой меди, тогда вес третьего сплава равен
, тогда меди в третьем сплаве будет
, а цинка
Получаем линейное уравнение
Следовательно, вес третьего сплава -
Ответ: 35 кг .
В 1 сплаве массы меди и цинка относятся как 4 : 1 . То есть масса меди составляет 4 части , а масса цинка составляет 1 часть от массы сплава, то есть от 10 кг . Весь сплав разделён на 4+1= 5 частей . Медь составляет 4/5 части сплава , а цинк - 1/5 части сплава .
Тогда вес меди в 1 сплаве равен 10 · (4/5) = 8 кг , а вес цинка равен 10 · (1/5) = 2 кг .
Во 2 сплаве массы меди и цинка относятся как 1 : 3 . То есть масса меди составляет 1 часть , а масса цинка составляет 3 части от массы сплава, то есть от 16 кг . Весь сплав разделён на 1+3=4 части . Медь составляет 1/4 части сплава , а цинк - 3/4 части сплава .
Тогда вес меди во 2 сплаве равен 16 · (1/4) = 4 кг , а вес цинка равен 16 · (3/4) = 12 кг .
Общий вес двух сплавов равен 10 + 16 = 26 кг .
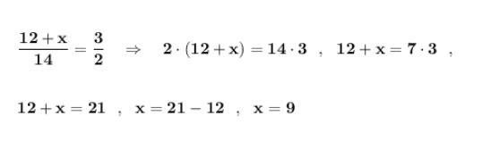
Добавили меди ещё х кг . Тогда 3-ий сплав имеет вес (26+х) кг , из которых вес меди равен ( 8 + 4 + х ) = (12 + х ) кг , а вес цинка равен (2+12) = 14 кг .
Отношение меди к цинку в 3-ем сплаве равно 3 : 2 . Можно записать
Значит, чтобы получить третий сплав, добавили 9 кг меди к первым
двум сплавам , тогда его вес равен 26 + х = 26 + 9 = 35 кг .
