• Предмет: Алгебра
  • Автор: anya36926
  • Вопрос задан 2 года назад

номер 193 з повним розв'язанням будь ласка​

Приложения:

Ответы

Ответ дал: polarkat
0

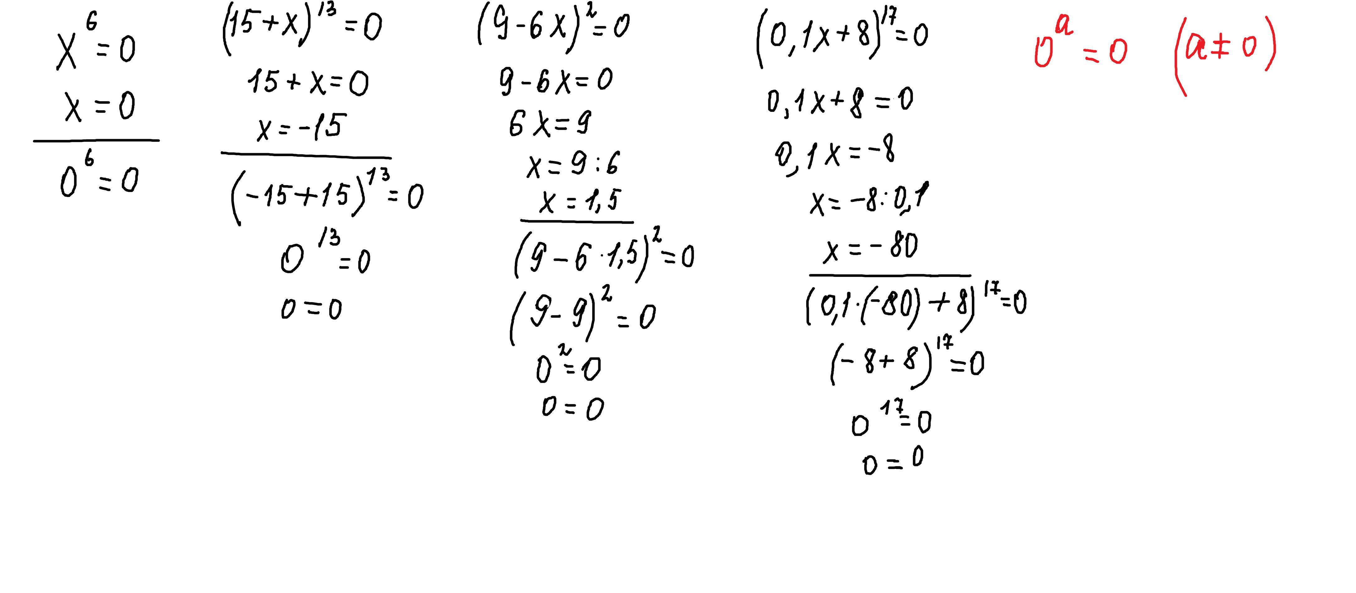
x^6=0\Leftrightarrow \sqrt[6]{x^6}=\sqrt[6]{0}\Leftrightarrow |x|=0\Rightarrow x=0\\\\(15+x)^{13}\Leftrightarrow \sqrt[13]{(15+x)^{13}}=\sqrt[13]{0}\Leftrightarrow 15+x=0\Rightarrow x=-15\\\\(9-6x)^2=0\Leftrightarrow \sqrt{(9-6x)^2}=\sqrt{0}\Leftrightarrow |9-6x|=0\Leftrightarrow 9-6x=0\Rightarrow x=\frac{3}{2}\\\\(0,1x+8)^{17}=0\Leftrightarrow \sqrt[17]{(0,1x+8)}=\sqrt[17]{0}\Leftrightarrow 0,1x+8=0\Leftrightarrow \\\Leftrightarrow 0,1x=-8\Leftrightarrow x=-8\cdot 10=-80

Ответ дал: parus77
0

Ответ:

0 в любой степени(кроме 0) равен 0

Объяснение:

решение внизу

Приложения:
Вас заинтересует