• Предмет: Математика
  • Автор: romanfedechka
  • Вопрос задан 1 год назад

Розпишіть на карточці краще ​

Приложения:

Ответы

Ответ дал: NNNLLL54
0

Ответ:

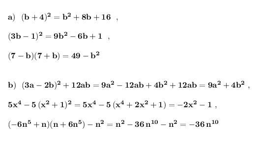
Записать в виде многочлена стандартного вида .    

Применяем формулы сокращённого умножения : квадрат суммы или разности и разность квадратов .

\bf a)\ \ (b+4)^2=b^2+8b+16\ \ ,\\\\(3b-1)^2=9b^2-6b+1\ \ ,\\\\(7-b)(7+b)=49-b^2\\\\\\b)\ \  (3a-2b)^2+12ab=9a^2-12ab+4b^2+12ab=9a^2+4b^2\ ,\\\\5x^4-5\, (x^2+1)^2=5x^4-5\, (x^4+2x^2+1)=-2x^2-1\ ,\\\\(-6n^5+n)(n+6n^5)-n^2=n^2-36\, n^{10}-n^2=-36\, n^{10}  

\bf c)\ \ (-3x-1)^2=(-1)^2\cdot (3x=1)^2=+1\cdot (9x^2+6x+1)=9x^2+6x+1\ ,\\\\(c-(b-d))^2=c^2-2\, c\, (b-d)+(b-d)^2=\\\\{}\ \ \ \ =c^2-2\, c\, b+2\, c\, d+b^2-2\, b\, d+d^2=\\\\{}\ \ \ \ =b^2+c^2+d^2-2\, b\, c-2\, b\, d+2\, c\, d\ ,\\\\(x^2+1)(x+1)(x-1)=(x^2=1)(x^2-1)=x^4-1  

Приложения:
Вас заинтересует