• Предмет: Математика
  • Автор: rudskojfejs
  • Вопрос задан 2 года назад

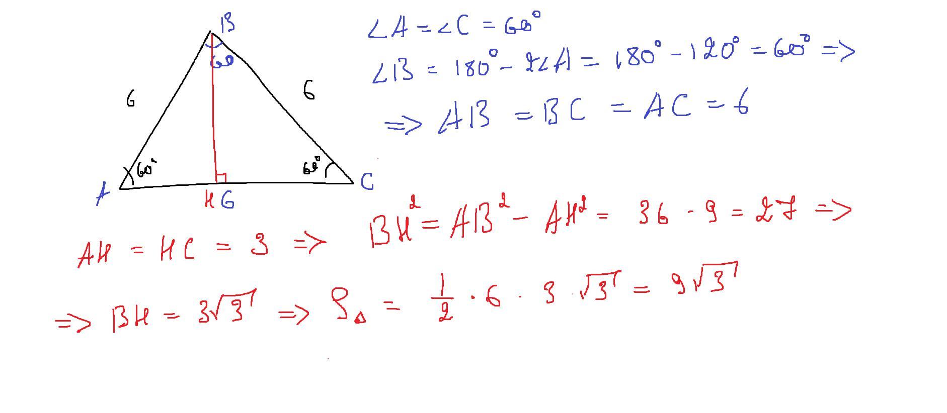
Знайти площу рівнобедренного трикутника, якщо його бічна сторона дорівнює 6 см., а кут при основі 60°.
Бажано з розв'язком.​

Ответы

Ответ дал: polarkat
1

Если угол при основании равен 60, то треугольник равносторонний

Приложения:
Ответ дал: matilda17562
0

Ответ:

9√3 см².

Пошаговое объяснение:

1. Пусть ∆ АВС равнобедренный с основанием АС.

По условию ∠ВАС = 60°, тогда и ∠ВСА = ∠ВАС = 60° (углы при основании равнобедренного треугольника). По теореме о сумме углов треугольника третий угол ∠АВС = 180° - (60° + 60°) = 60°.

Все углы треугольника равны, тогда равны и все его стороны, ∆АВС равносторонний.

2. Площадь равностороннего треугольника со стороной а по теореме можно найти по формуле

S = a²•√3/4.

В нашем случае

S = 6²√3/4 = 9√3 (см²).

Приложения:
Вас заинтересует