• Предмет: Математика
  • Автор: itachkaone2005
  • Вопрос задан 2 года назад

решите неравенство пожалуйста,заранее спасибо ​

Приложения:

Ответы

Ответ дал: 7x8
2

Ответ:

x\in \left[-\frac{\sqrt{161}}{4};-\sqrt7 \right] \cup \left[\sqrt7;\frac{\sqrt{161}}{4} \right]

Пошаговое объяснение:

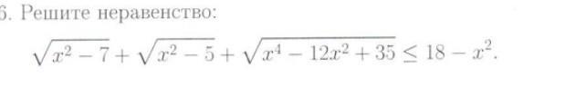
\sqrt{x^2-7}+\sqrt{x^2-5}+\sqrt{x^4-12x^2+35} \le 18-x^2

1.

x^4-12x^2+35=x^4-5x^2-7x^2+35=x^2(x^2-5)-7(x^2-5)=(x^2-5)(x^2-7)

2.

ОДЗ:

\begin{cases}x^2-7 \ge 0\\x^2-5 \ge 0\\(x^2-5)(x^2-7) \ge 0\end{cases}

\begin{cases}(x-\sqrt7)(x+\sqrt7) \ge 0\\(x-\sqrt5)(x+\sqrt5) \ge 0\\(x-\sqrt5)(x+\sqrt5)(x-\sqrt7)(x+\sqrt7) \ge 0\end{cases}

\begin{cases}x\in \left( -\infty;-\sqrt7\right] \cup \left[\sqrt7;+\infty \right)\\x\in \left( -\infty;-\sqrt5\right] \cup \left[\sqrt5;+\infty \right)\\ x\in\left( -\infty;-\sqrt7\right] \cup \left[-\sqrt5;\sqrt5 \right] \cup\left[\sqrt7;+\infty \right)\end{cases}

x\in \left( -\infty;-\sqrt7\right] \cup \left[\sqrt7;+\infty \right)

3.

\sqrt{x^2-7}+\sqrt{x^2-5}+\sqrt{(x^2-5)(x^2-7)} \le 18-x^2

пусть

x^2-7=t,\ t \ge 0

x^2=t+7

\sqrt{t}+\sqrt{t+2}+\sqrt{t(t+2)}\le 18-t-7

\sqrt{t}+\sqrt{t+2}+\sqrt{t(t+2)}\le 11-t

-----------------

\sqrt{t}+\sqrt{t+2}+\sqrt{t(t+2)}\ge 0

так что

11-t \ge 0

-----------------

\sqrt{t+2}+\sqrt{t(t+2)}\le (11-t)-\sqrt t\ \ \ |()^2

t+2+2\sqrt{t+2}\cdot\sqrt{t(t+2)}+t(t+2) \le (11-t)^2-2(11-t)\sqrt t+t

t+2+2(t+2)\sqrt t+t^2+2t \le 121-22t+t^2-22\sqrt t+2t\sqrt t+t

t+2+2t\sqrt t+4\sqrt t+t^2+2t -121+22t-t^2+22\sqrt t-2t\sqrt t-t \le 0

24t+26\sqrt t -119 \le 0

4.

пусть

\sqrt t=m,\ m \ge 0

t=m^2

24m^2+26m-119\le0

D=26^2-4\cdot24\cdot(-119)=676+11424=12100

\sqrt D=\sqrt{12100}=110

m_1=\frac{-26-110}{2\cdot24}=\frac{-136}{48}=-\frac{17}{6}

m_2=\frac{-26+110}{2\cdot24}=\frac{84}{48}=\frac{7}{4}

m\in \left[-\frac{17}{6};\frac{7}{4}\right]

oднако m \ge 0

так что

m\in \left[0;\frac{7}{4}\right]

5.

\sqrt t=m

\sqrt t\in \left[0;\frac{7}{4}\right]

\begin{cases}\sqrt t \ge 0\\ \sqrt t \le \frac{7}{4}\end{cases}

\begin{cases}t\in\left[ 0;+\infty\right) \\ t\in\left(-\infty; \frac{49}{16}\right] \end{cases}

t\in \left[0;\frac{49}{16}\right]

6.

x^2=t+7

x^2\in\left[0+7;\frac{49}{16}+7\right]

x^2\in\left[7;\frac{161}{16}\right]

\begin{cases}x^2 \ge 7\\x^2 \le\frac{161}{16}\end{cases}

\begin{cases}x^2-7 \ge 0\\x^2-\frac{161}{16} \le 0\end{cases}

\begin{cases}(x-\sqrt7)(x+\sqrt7) \ge 0\\ \left(x-\sqrt{\frac{161}{16}}\right)\left( x+\sqrt{\frac{161}{16}}\right)\le0\end{cases}

\begin{cases}x\in \left( -\infty;-\sqrt7\right] \cup \left[\sqrt7;+\infty \right)\\x\in \left[-\frac{\sqrt{161}}{4};\frac{\sqrt{161}}{4} \right] \end{cases}

x\in \left[-\frac{\sqrt{161}}{4};-\sqrt7 \right] \cup \left[\sqrt7;\frac{\sqrt{161}}{4} \right]


7x8: Спасибо :)
itachkaone2005: спасибо
polarkat: Увы, но ответ неправильный
7x8: Почему ответ неправильный? где ошибка?
7x8: wolframalpha показывает тот же результат
tamarabernukho: Опечатка в последней строчке, знак минус уберите
Вас заинтересует