упростить выражение, по тригонометрии
помогите пожалуйста!! задание прикреплю
Приложения:

polarkat:
Кажется, ошибка
Ответы
Ответ дал:
2
Ответ:
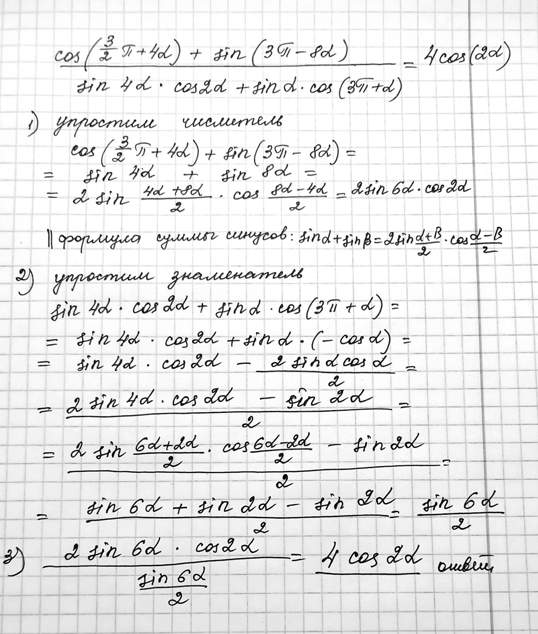
4cos(2a)
Объяснение:
Решение на фото
Приложения:

Вас заинтересует
1 год назад
1 год назад
2 года назад
2 года назад
8 лет назад