• Предмет: Физика
  • Автор: drewdober
  • Вопрос задан 2 года назад

Физика! №3, 5! дайте ответ простыми формулами!​

Приложения:

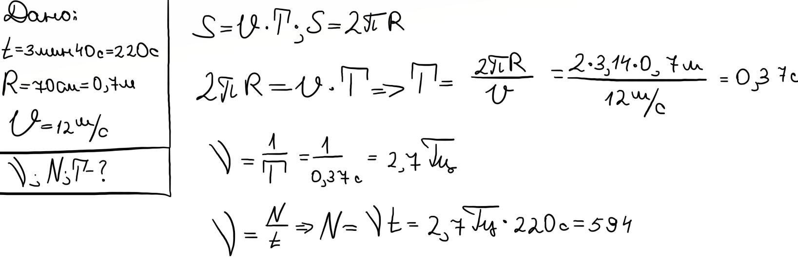
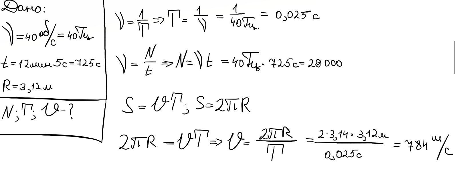
Cohendd: Такие же величины, как и раньше рассмотрели. Только время все в секунды надо перевести. Попробуйте теперь сами)) Непонятно, ещё раз поясню.

Ответы

Ответ дал: Abubachir555
1

Удачи!!!!!!!!!!!!!!!!!!!!!!!!

Приложения:
Вас заинтересует