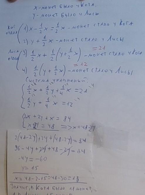
Кот и Лиса играли на золотые монеты. Сначала кот отдал половину своих монет Лисе, потом Лиса отдала Коту половину того, что у нее стало. В итоге, у кота оказалась 21 монета, а у Лисы 12. Сколько монет было у кота и лисы до игры (у каждого)
Ответы
Ответ дал:
1
Ответ:
на фото
Пошаговое объяснение:
на фото
Приложения:

Ответ дал:
1
Ответ: 18 монет было у Кота и 15 монет было у Лисы.
Пошаговое объяснение:
х-количество монет у Кота, а у-количество монет у Лисы.
-количество монет отданных лисе.
=12-количество монет отданных коту.
⇒
.
y+9=24=>y=15
Вас заинтересует
1 год назад
1 год назад
1 год назад
2 года назад
2 года назад
8 лет назад