Дано уравнение, решить и доказать, что полученное значение действительно является его решением
Приложения:

Ответы
Ответ дал:
1
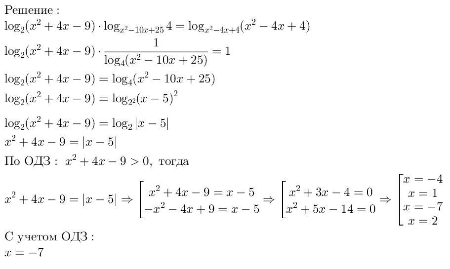
Ответ:
-7
Пошаговое объяснение:
Приложения:



ГАЗ52:
При таком вопросе,одз можно не искать.
Вас заинтересует
1 год назад
1 год назад
1 год назад
1 год назад
2 года назад
8 лет назад