помогите пожалуйста с системой тригонометрических уравнений
Приложения:

yevheniiavz:
Вы бы хоть смотрели внимательней, далеко не одно и то же
Ответы
Ответ дал:
1
Ответ дал:
1
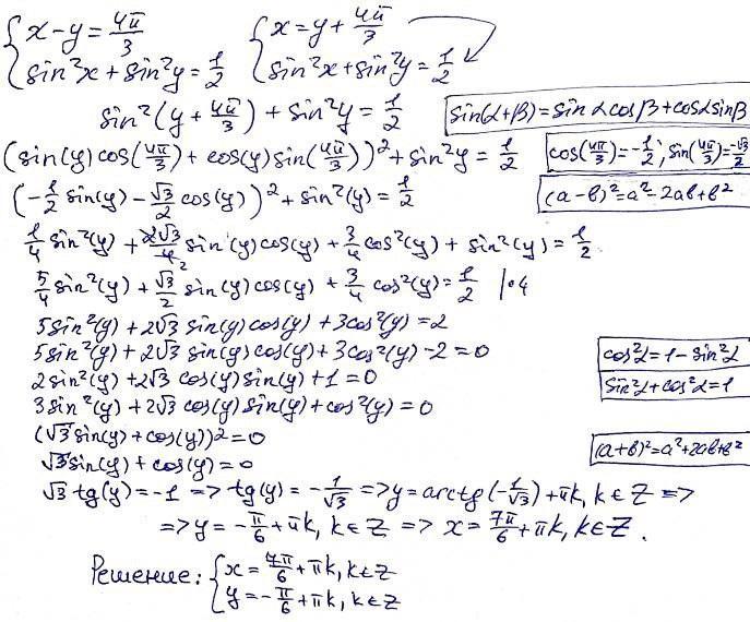
...................................
Приложения:

Вас заинтересует
1 год назад
1 год назад
1 год назад
2 года назад
2 года назад
8 лет назад