• Предмет: Математика
  • Автор: vladsvec4
  • Вопрос задан 2 года назад

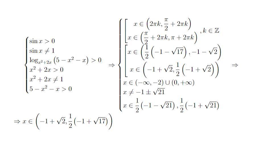
Указать отрезок, которому принадлежит корень уравнения log sinx log x^2+2x(5-x^2-x)=0

Приложения:

Ответы

Ответ дал: polarkat
0

$\log_{\sin x}\log_{x^2+2x}\left ( 5-x^2-x \right )=0\Leftrightarrow \log_{x^2+2x}\left ( 5-x^2-x \right )=1\Leftrightarrow$

$\Leftrightarrow 5-x^2-x=x^2+2x\Leftrightarrow 2x^2+3x-5=0\Rightarrow x=\left \{ -\frac{5}{2},1 \right \}$

Теперь нужно найти ОДЗ - оно будет на фотографии, так как сюда не помещается

Промежуток мы нашли, он на фото, а корень уравнения будет только один x=1

Приложения:

Аноним: копия не помещается да? ну понятно
Аноним: yt el eck
Вас заинтересует