• Предмет: Математика
  • Автор: 2006maxbublik54
  • Вопрос задан 1 год назад

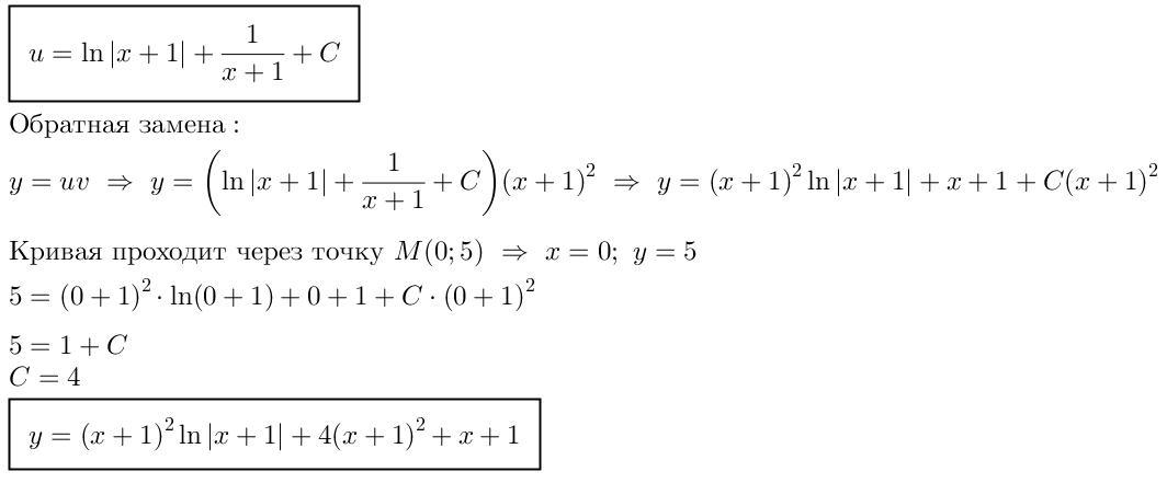
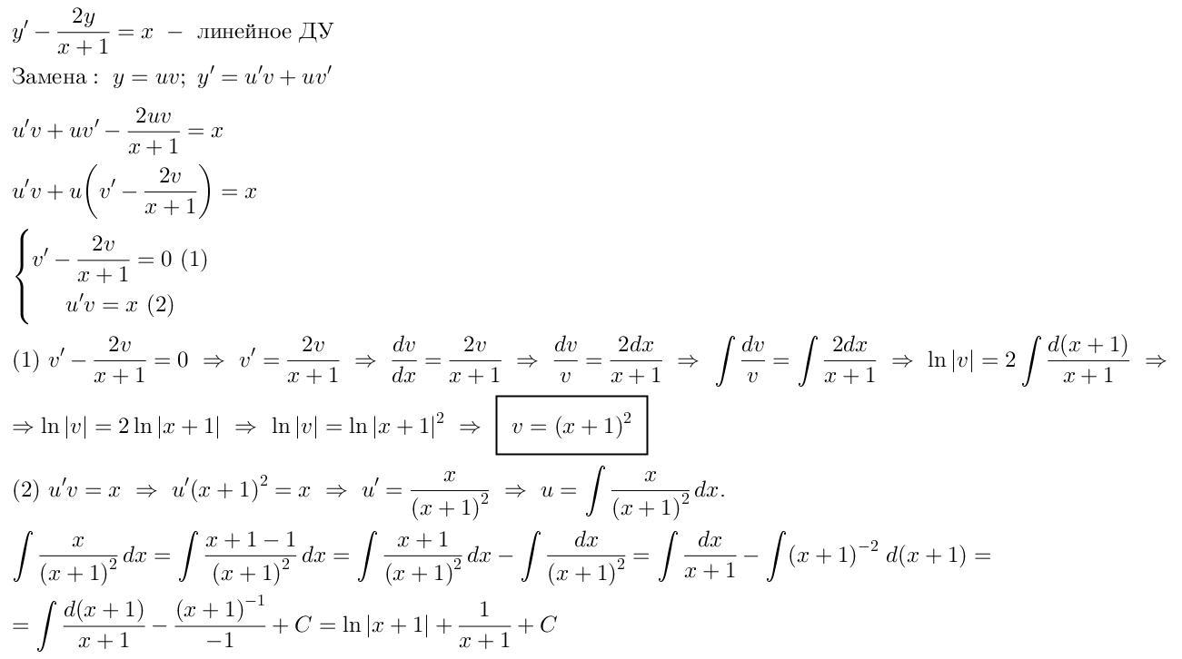
Знайдіть інтегральну криву диференціального рівняння [tex]y'-\frac{2y}{x+1} =x, якій належить точка М(0;5)

Ответы

Ответ дал: Alexandr130398
1

Ответ:

y=(x+1)^2\ln|x+1|+4(x+1)^2+x+1

Пошаговое объяснение:

Приложения:
Вас заинтересует