• Предмет: Алгебра
  • Автор: mussuya555
  • Вопрос задан 1 год назад

Решите уравнения (только четные)

Приложения:

Ответы

Ответ дал: polarkat
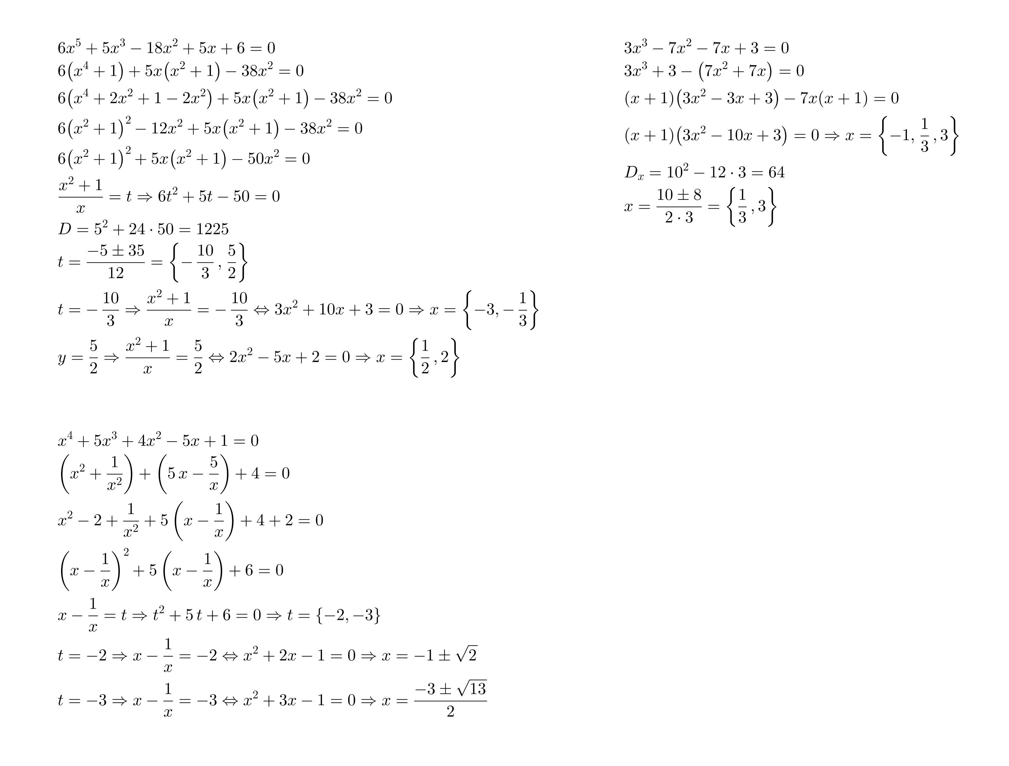
1

Решение на фото.....

Приложения:

Аноним: и в этом нету каких либо причин
Аноним: икс это же число?
Аноним: где решения опять?
Universalka: Разве уравнение под номером 2 так выглядит ?
polarkat: Описка в цифре...
polarkat: На вторую строчку можно посмотреть
Universalka: Описка и в цифре и в числе
Вас заинтересует