• Предмет: Алгебра
  • Автор: xcguguffc
  • Вопрос задан 2 года назад

Розв’язати квадратне рівняння ,послідовно аж до самої відповіді

Приложения:

Ответы

Ответ дал: hypefaq
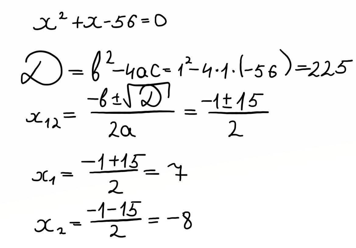
1

Рішення виконано через дискримінант, як і потрібно за умовою

x^2+x-56=0\\D=b^2-4ac=1^2-4*1*(-56)=1+224=225\\x_1=\frac{-b+\sqrt{D} }{2a} =\frac{-1+15}{2*1} =\frac{14}{2} =7\\x_2=\frac{-b-\sqrt{D} }{2a} =\frac{-1-15}{2*1} =\frac{-16}{2} =-8

Ответ дал: Abubachir555
1

Удачи!!!!!!!!!!!!!!!!!!!

Приложения:

xcguguffc: А чому там вийшло 225? Відповіси дам кращу відповідь тобі
Abubachir555: 1 в квадрате-это 1; -4*(-56)=+224(т.к. минус на минус дает плюс), а 1+224=225
xcguguffc: Дякую )
Вас заинтересует