• Предмет: Физика
  • Автор: 1218Goat
  • Вопрос задан 1 год назад

Как вычислить время зная только расстояние и ускорение

Ответы

Ответ дал: wellsssion
0
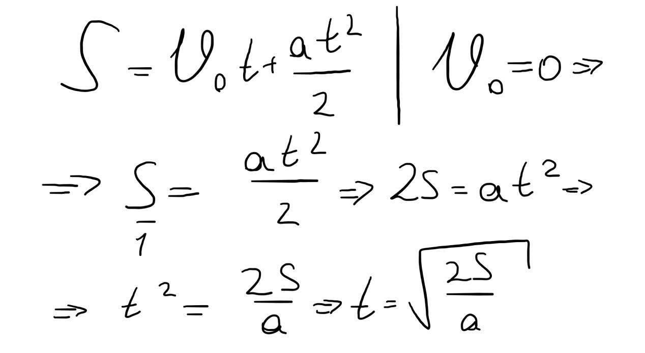
a=2S/t^2
Отсюда t=/(2S/a)

(“/“-корень)

1218Goat: Не правильно
Ответ дал: Abubachir555
1

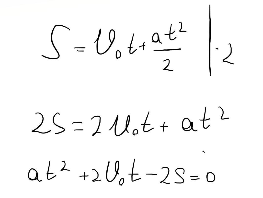
Удачи!!!!!!!!!!!!!!!!!!!!!!!!
Если есть V0, то подставляешь все данные во второе выражение и решаешь как квадратное уравнение

Приложения:
Вас заинтересует