• Предмет: Алгебра
  • Автор: ibrkhamz
  • Вопрос задан 1 год назад

Решите ПЖ

( x− 1)^2 = 3.


aarr04594: Дужки можна не розкривати. х-1=√3 , х=1+√3 або х-1=-√3, х=1-√3.

Ответы

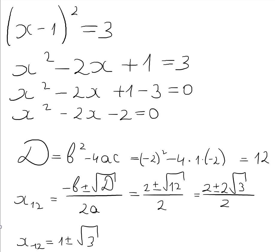
Ответ дал: tolife2
1

Ответ:

x = 1 + √3 

x = 1 - √3

Объяснение:

1. Раскрываешь квадратные скобки: (x-1)(x-1) = x^2 – 2x + 1 = 3

2. Переносишь все члены уравнения в одну сторону: x^2 - 2x + 1 - 3 = 0

3. Найходишь дискриминант: D = 4 + 8 = 12

4. Найходишь корни с помощью формулы: x = (2±√12)/2

5. Упрощаешь выражение: x = 1±√3

И вот получил два корня: x = 1 + √3 и x = 1 – √3. Это и есть ответ.

Ответ дал: Abubachir555
0

Удачи!!!!!!!!!!!!!!!!!!!!!!!

Приложения:
Вас заинтересует