• Предмет: Математика
  • Автор: MrBabyin
  • Вопрос задан 2 года назад

Можете ,будь ласка, дати розгорнуту відповідь

Приложения:

Аноним: напишив телегу мені hahobn

Ответы

Ответ дал: dobra888
1

Відповідь:   zₓ' =  - 3sinx - 4y .

Покрокове пояснення:

  6 .  z = 3cosx + 2y² - 4xy + 5 ;

zₓ' = ( 3cosx + 2y² - 4xy + 5 )ₓ' = 3 *(- sinx ) + 0 - 4 * 1 * y + 0 = -3sinx - 4y;

        zₓ' =  -3sinx - 4y .

Ответ дал: NNNLLL54
1

Ответ:

Найти частные производные 1-го порядка .

Находя производную по одной из переменных, вторую считаем константой .

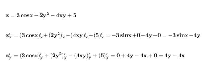
\bf z=3\, cosx+2y^2-4xy+5\\\\\\z'_{x}=(3\, cosx)'_{x}+(2y^2)'_{x}-(4xy)'_{x}+(5)'_{x}=-3\, sinx+0-4y+0=-3\, sinx-4y\\\\\\z'_{y}=(3\, cosx)'_{y}+(2y^2)'_{y}-(4xy)'_{y}+(5)'_{y}=0+4y-4x+0=4y-4x

Приложения:
Вас заинтересует