• Предмет: Математика
  • Автор: NeverGonnaBack
  • Вопрос задан 1 год назад

Помогите пожалуйста с заданиями, сдать надо уже завтра (3 половина)

Приложения:

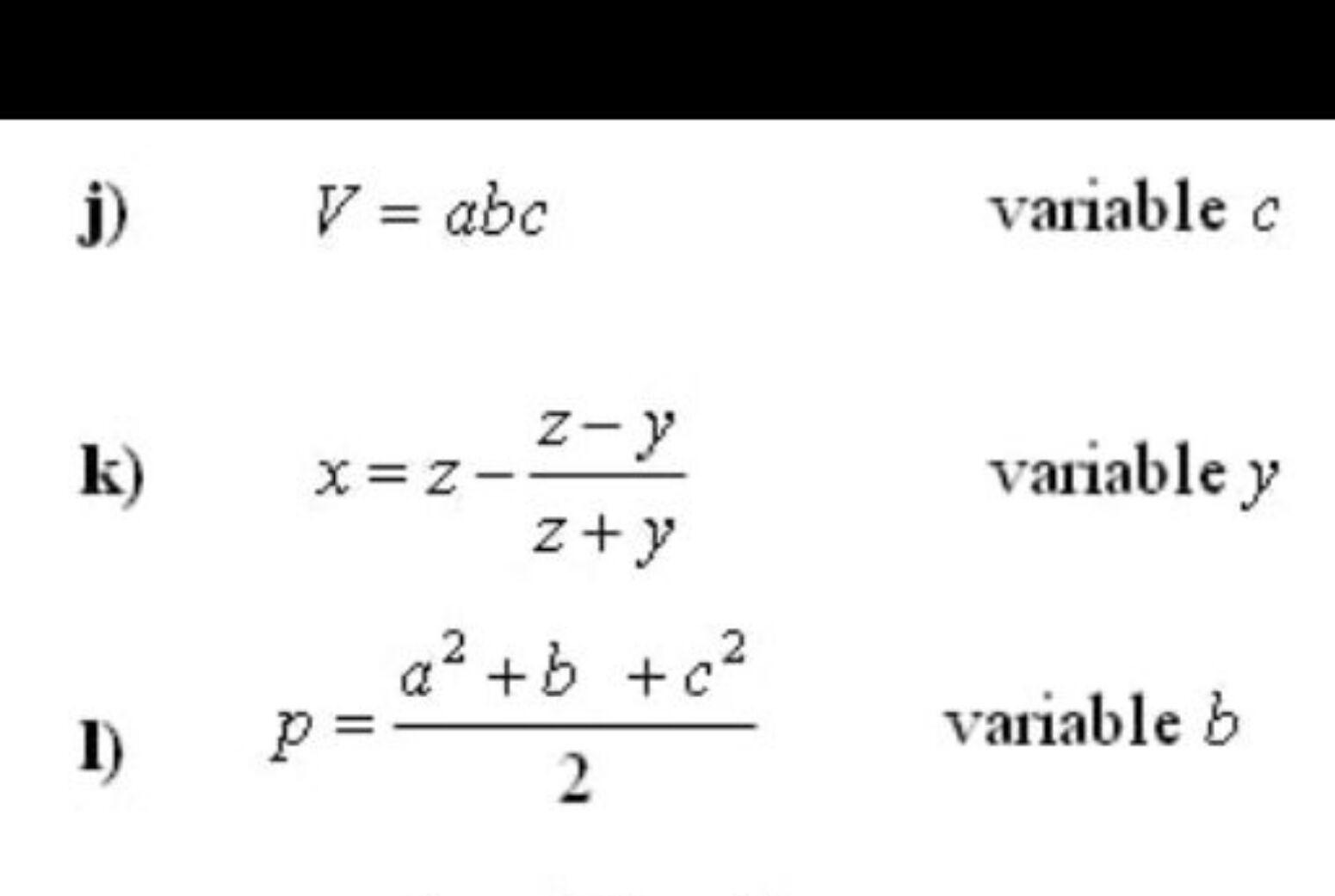
Cohendd: j) c=V/(ab). k) y=(z-z²+zx)/(x-z+1). l) b=2p-c²-a².

Ответы

Ответ дал: NNNLLL54
0

Ответ:

1)  Выразить переменную   с .

\bf V=abc\ \ \ \Rightarrow \ \ \ c=\dfrac{V}{ab}  

2)  Выразить переменную   у .

\bf x=z-\dfrac{z-y}{z+y}\ \ \ \Rightarrow \ \ \ x=\dfrac{z^2+yz-z+y}{z+y}\ \ ,\\\\\\xz+xy=z^2+yz-z+y\\\\xy-yz-y=z^2-z-xz\\\\y\, (x-z-1)=z^2-z-xz\\\\y= \dfrac{z^2-z-xz}{x-z-1}  

3)  Выразить переменную  b .

\bf p=\dfrac{a^2+b+c^2}{2}\ \ \ \Rightarrow \ \ \ 2p=a^2+b+c^2\ \ ,\\\\b=2p-a^2-c^2                                  

Приложения:
Вас заинтересует