Ответы
Ответ дал:
1
Ответ:
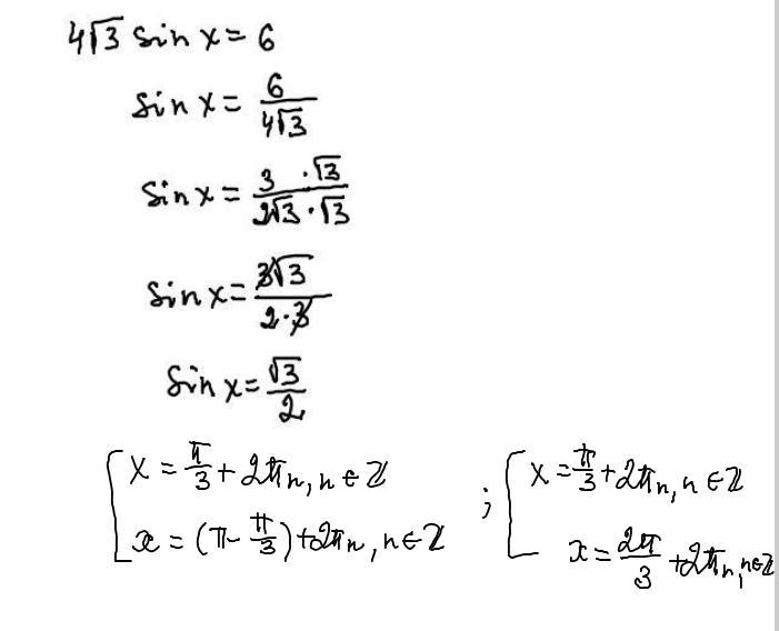
Пошаговое объяснение: на фото
Приложения:

Вас заинтересует
1 год назад
1 год назад
2 года назад
2 года назад
8 лет назад