• Предмет: Химия
  • Автор: zotsuu8
  • Вопрос задан 2 года назад

Из скольки (г) нитрита аммония можно получить 31,36 л азота.

Ответы

Ответ дал: Abubachir555
0

Удачи!!!!!!!!!!!!!!!!!!!!!!!!!!!!!

Приложения:
Ответ дал: dobriakua
0

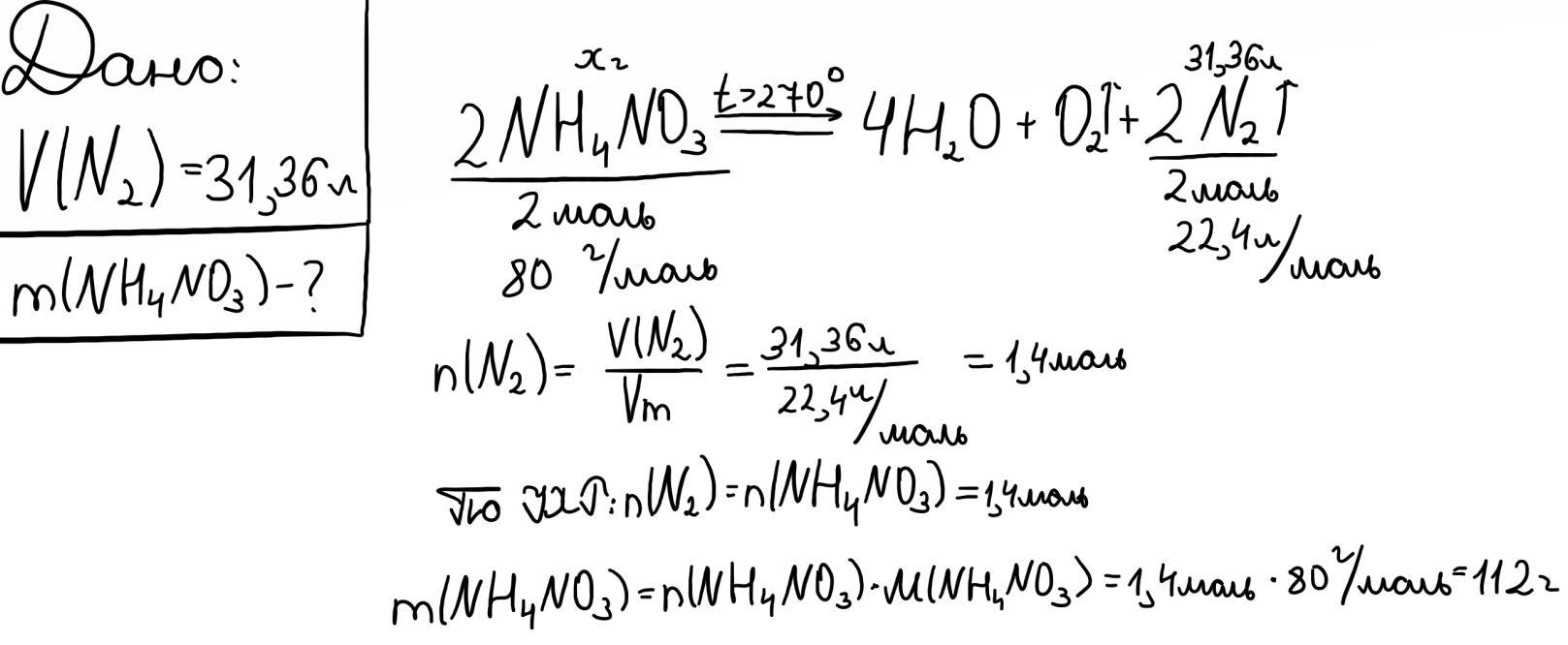
Дано:

V(N2) = 31,36 л

Найти:

m(NH4NO2) - ?

Решение:

1) NH4NO2 -(tC)→ N2 + 2H2O;

2) n(N2) = V(N2) / Vm = 31,36 / 22,4 = 1,4 моль;

3) n(NH4NO2) = n(N2) = 1,4 моль;

4) m(NH4NO2) = n * M = 1,4 * 64 = 89,6 г.

Ответ: Масса NH4NO2 составляет 89,6 г.

Вас заинтересует