• Предмет: Химия
  • Автор: zotsuu8
  • Вопрос задан 2 года назад

Определите плотность по гелию (Не) смеси, состоящей из кислорода (O2) и аргона (Аr), при этом объемная доля кислорода 30%.

Ответы

Ответ дал: Abubachir555
0

Удачи!!!!!!!!!!!!!!!!!!!!!!!!

Приложения:
Ответ дал: dobriakua
0

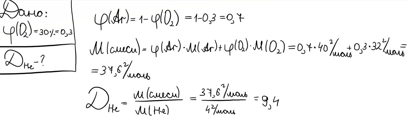
Дано:

смесь - O2, Ar

φ(O2) = 30%

Найти:

D He(смеси) - ?

Решение:

1) φ(Ar) = 100% - φ(O2) = 100% - 30% = 70%;

2) M ср.(смеси) = (φ(O2) * M(O2) + φ(Ar) * M(Ar)) / 100% = (30% * 32 + 70% * 40) / 100% = 37,6 г/моль;

3) D He(смеси) = M ср.(смеси) / M(He) = 37,6 / 4 = 9,4.

Ответ: Плотность по гелию смеси составляет 9,4.

Вас заинтересует