Ответы
Ответ дал:
0
Ответ:
Объяснение:
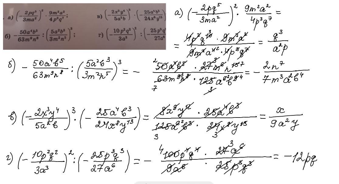
на фото пошагово
Приложения:

Вас заинтересует
1 год назад
1 год назад
2 года назад
2 года назад
8 лет назад