геометрия помогитеееееееееееееееее
Приложения:

natalyabryukhova:
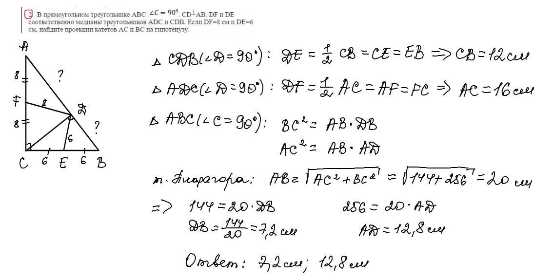
АС=2DF=16; BC=2DE=12. По Пифагору АВ=20. АС^2=AD*AB. AD=12,8; DB=7,2
Ответы
Ответ дал:
1
Ответ:
Объяснение: пошагово
Приложения:

Вас заинтересует
1 год назад
1 год назад
2 года назад
2 года назад
8 лет назад