• Предмет: Алгебра
  • Автор: SovAZh22
  • Вопрос задан 1 год назад

Срочно! Как решать????
sqrt(x + 4) - sqrt(9 - x) = 1


Аноним: напишив телегу мені hahobn

Ответы

Ответ дал: Smilermath
0

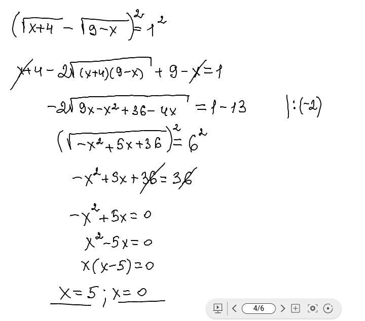
Ответ:

Объяснение:

на фото

Приложения:

antonovm: решение ваше неверно , x = 0 - корнем не является . Ошибка с первой строки , возведение в квадрат возможно , если левая часть неотрицательна
antonovm: А вообще пример устный : левая часть - возрастающая на области определения функция , x = 5 - корень и он единственный
Smilermath: ааа, точно, спс
Вас заинтересует