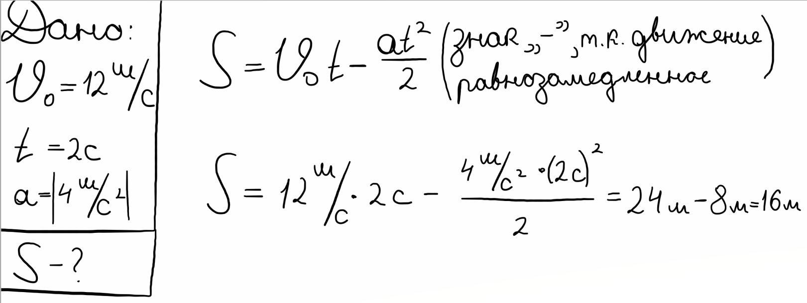
При скорости 12м/с спортсмен замедляется. На какое расстояние от финиша уйдет спортсмен за 2 с, если его ускорение равно 4 м/с?
Ответы
Ответ дал:
0
Удачи!!!!!!!!!!!!!!!!!!!!!!!!!!!!!!!
Приложения:

Вас заинтересует
1 год назад
1 год назад
2 года назад
2 года назад
8 лет назад