Ответы
Ответ дал:
3
Ответ:
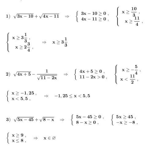
Дробь имеет смысл при тех значениях переменной, при которых знаменатель дроби не равен 0 . Подкоренное выражение корня чётной степени должно быть неотрицательным .
Приложения:

nikita117664:
разве во 2) х может быть =? я думал что только больше
Вас заинтересует
1 год назад
1 год назад
1 год назад
2 года назад
2 года назад