Ответы
Ответ дал:
1
Удачи!!!!!!!!!!!!!!!!
Приложения:

Ukraine9999:
точно правильно?
Ответ дал:
0
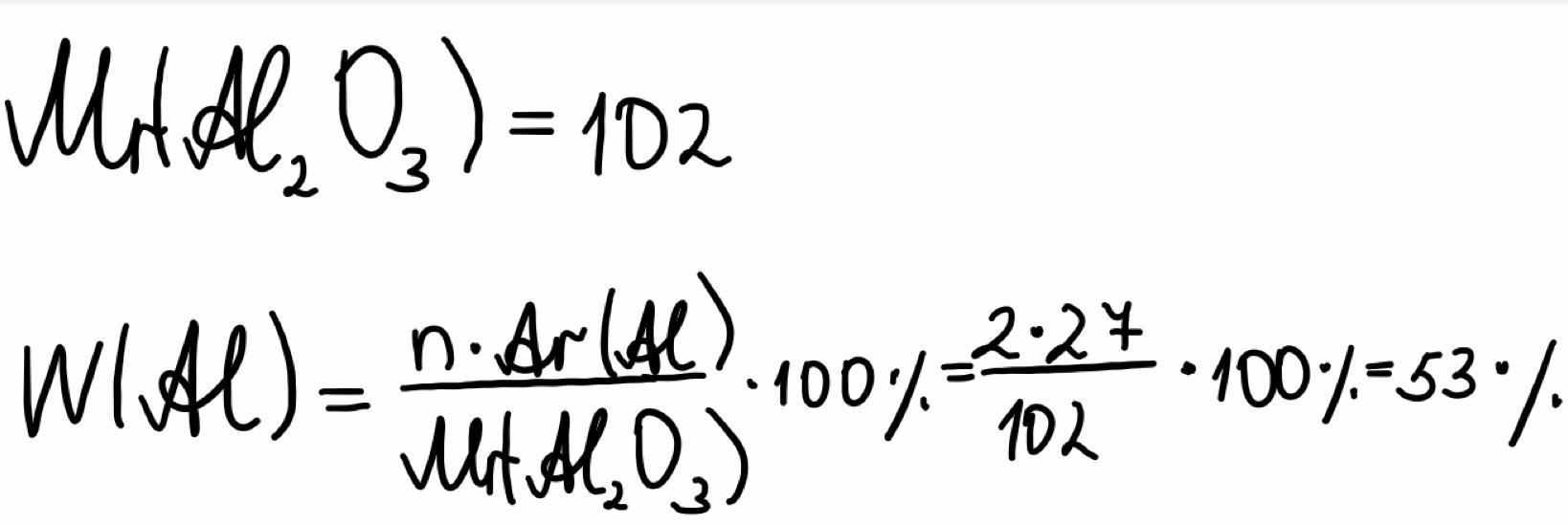
Дано:
Al2O3
Найти:
ω(Al) - ?
Решение:
1) Mr(Al2O3) = 102;
2) ω(Al) = N(Al) * Ar(Al) * 100% / Mr(Al2O3) = 2 * 27 * 100% / 102 = 52,94%.
Ответ: Массовая доля Al составляет 52,94%.
Вас заинтересует
1 год назад
1 год назад
1 год назад
1 год назад
2 года назад
2 года назад
8 лет назад
8 лет назад