• Предмет: Математика
  • Автор: bayakeel12
  • Вопрос задан 2 года назад

решите уравнение пж ​

Приложения:

ГАЗ52: Про Наполеона точная дата? А там ещё задача про свинок есть. Будет два ответа. Сделай, если знаешь или я помогу.
bayakeel12: Наполеон точная
bayakeel12: ок
ГАЗ52: Ну ладно. Некоторым очень принципиально отвечал ли ты или нет. Пока.
bayakeel12: пока
bayakeel12: я не нашла задачу про свинок
ГАЗ52: Она первая в ленте задач.
bayakeel12: если найду я сделаю если нет то нет покаа
ГАЗ52: ([6 + 8 * 8] / 2) * 1 =(6+64)/2•1=70/2•1=35

16 * 5.2 + 7 - 35 =83,2+7-35=90,2-35=55,2

[11 * 5 + 45] / 5 + 60=(55+45)/5+60=100/5+60=20+60=80
bayakeel12: ааа спасибо тебе

Ответы

Ответ дал: Kuprisel
2

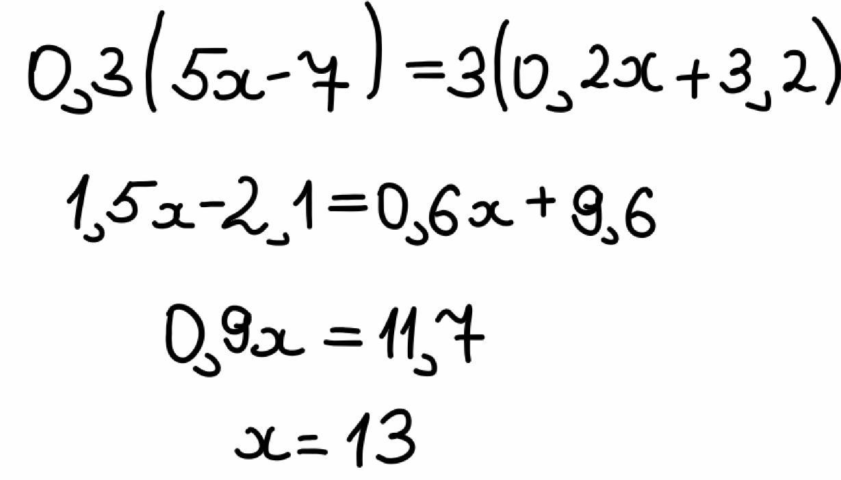
1,5x-2,1=0,6x+9,6

1,5-2,1=0,6x+9,6

1,5x-0,6=9,6+2,1

0,9=11,7

x=13

это точно уже правильно я проверил


bayakeel12: спасибо тебе огромное
Kuprisel: как я понял ты какой то тест решаешь можешь мне все скинуть я решу(извини что в первом ошибка была не повторится болше)
bayakeel12: да я такой тест решаю в первои ничего страшного все же допускают ошибки
bayakeel12: если есть проблемы я задам вопрос а так спасибо тебе большое
Ответ дал: Abubachir555
2

Удачи!!!!!!!!!!!!!!!!!!!!

Приложения:
Вас заинтересует