Ответы
Ответ дал:
2
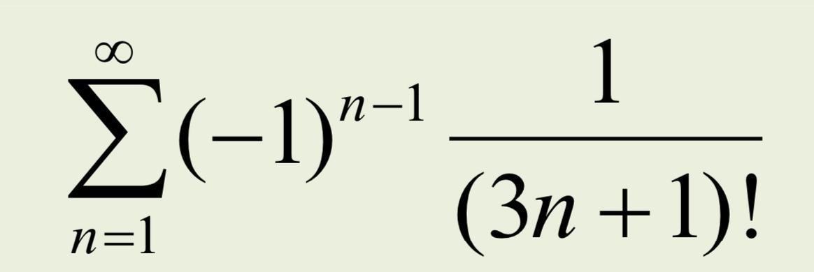
Решение.
Проверим выполнение условий признака Лейбница сходимости знакопеременных рядов .
Условия признака Лейбница выполнены . Ряд сходится по признаку Лейбница .
Проверим на абсолютную сходимость . Применим признак Даламбера к ряду, составленному из абсолютных величин , то есть к ряду .
Ряд, составленный из абсолютных величин, сходится .
Исходный знакочередующийся ряд сходится абсолютно .
Приложения:

Xonda7777:
Спасибо вам огромное
Вас заинтересует
1 год назад
1 год назад
1 год назад
2 года назад
2 года назад
8 лет назад
8 лет назад