Ответы
Ответ дал:
1
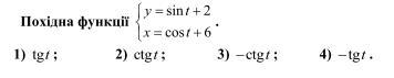
Ответ: №3 .
Производная функции , заданной параметрически : .
Приложения:

Вас заинтересует
1 год назад
1 год назад
1 год назад
2 года назад
2 года назад