Ответы
Ответ дал:
0
Ответ:
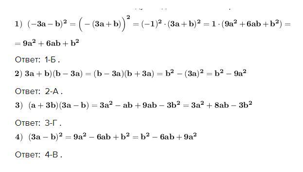
Установить соответствие между тождественными выражениями .
Ответ: 1-Б .
Ответ: 2-А .
Ответ: 3-Г .
Ответ: 4-В .
Приложения:

Вас заинтересует
1 год назад
1 год назад
1 год назад
2 года назад
8 лет назад