• Предмет: Алгебра
  • Автор: Upiter332
  • Вопрос задан 2 года назад

Помогите пожалуйста. Очень нужно. Задание прикреплено на фотографии ниже.

Приложения:

aarr04594: У другому , яка степінь а????
Upiter332: Друга степінь
Аноним: напишив телегу мені hahobn

Ответы

Ответ дал: aarr04594
0

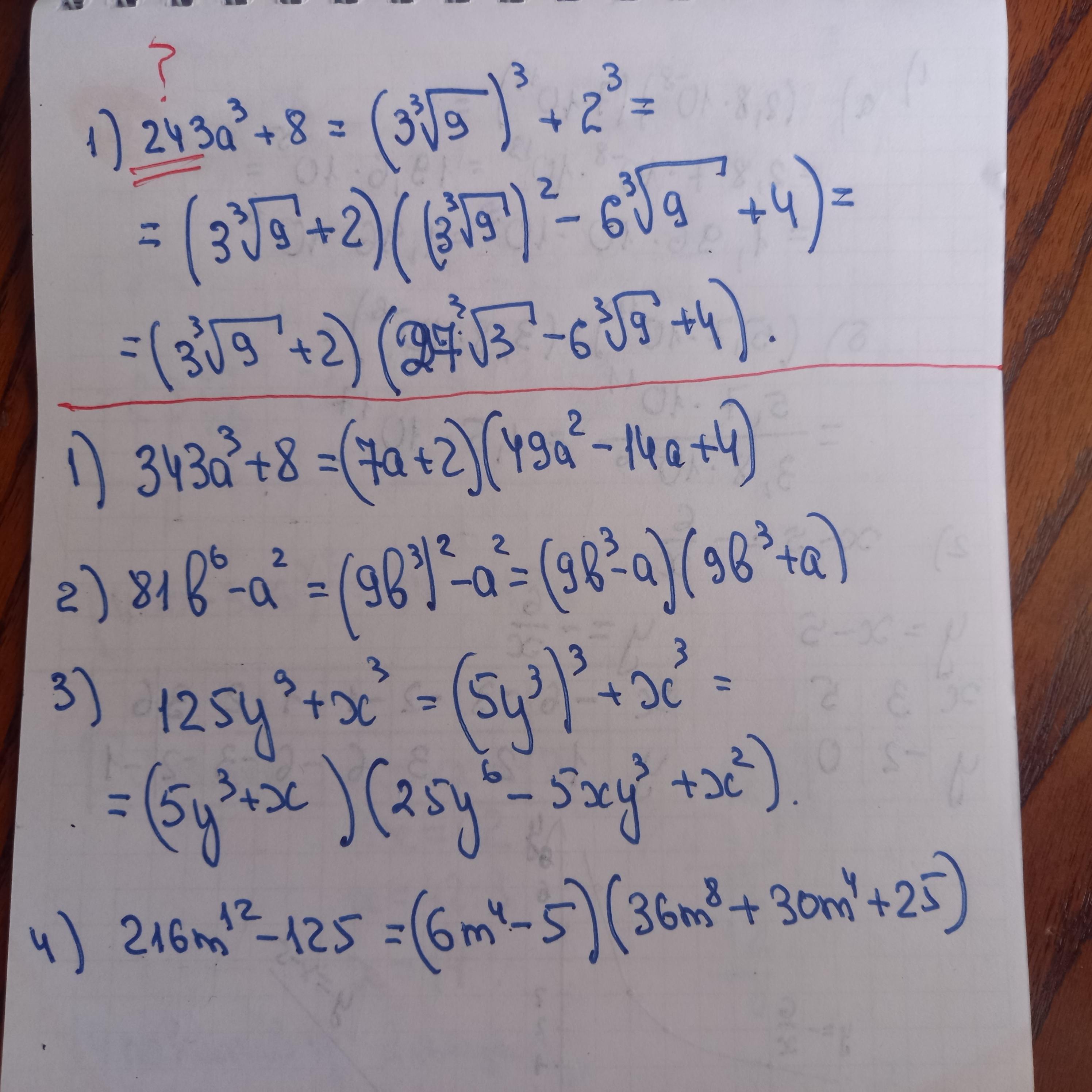
Відповідь: фото

Пояснення:

в першому , я впевнена , повинно в умові бути 343.

Приложения:

Upiter332: Дуже допомгли, дякую
Вас заинтересует