• Предмет: Алгебра
  • Автор: Xonda7777
  • Вопрос задан 2 года назад

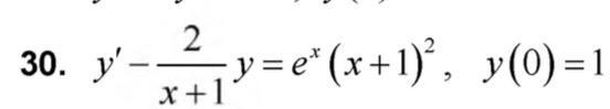
Найти решение задачи Коши по методами Лагранжа и Бернулли.

Приложения:

IUV: а якщо я просто виклам розв'язок ?
як називається такий метод - мені невідомо
Xonda7777: Не знаю оказывается есть такой метод
IUV: тобто ви наполягаєте щоб були два методи - Лагранжа та Бернуллі.
тоді я пас.
в мене є розв'язок лише одним методом і чий він я не знаю.
Xonda7777: Ок покажіть не обов'язково щоб було два методи
Xonda7777: Зараз потрібно швидше показати ніж формальності

Ответы

Ответ дал: IUV
1

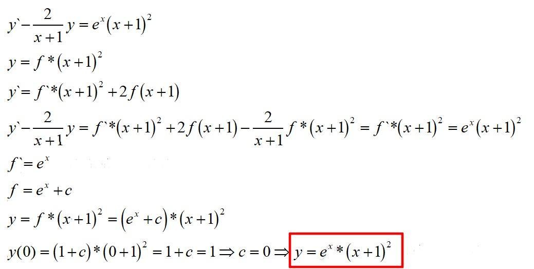
Відповідь:

Пояснення:

Приложения:

Xonda7777: Спасибі вам величезне
IUV: на здоров'я
Вас заинтересует