• Предмет: Геометрия
  • Автор: elkoshak
  • Вопрос задан 2 года назад

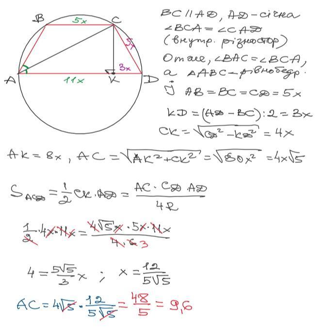
У рівнобічній трапеції діагональ є бісектрисою гострого кута, а основи відносяться як 5:11. Знайдіть діагональ трапеції, якщо радіус кола, описаного навколо трапеції, дорівнює 6 см


antonovm: 9,6 - ?
elkoshak: Есть полное решение?
antonovm: да кто -нибудь решит , задача простая

Ответы

Ответ дал: математик2011
0

Ответ:

відповідь на фото. Може ускладнила??

Объяснение:

Приложения:

elkoshak: Спасибо большое. Но есть вопрос, почему AB=BC=CD?
Вас заинтересует