Ответы
Ответ дал:
2
Відповідь:
Пояснення:
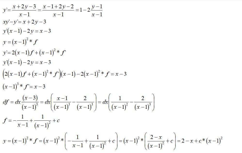
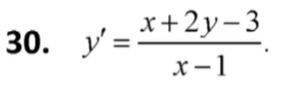
Приложения:

Xonda7777:
Спасибо вам огромное
Вас заинтересует
1 год назад
1 год назад
2 года назад
2 года назад
8 лет назад