• Предмет: Геометрия
  • Автор: deffrro
  • Вопрос задан 2 года назад

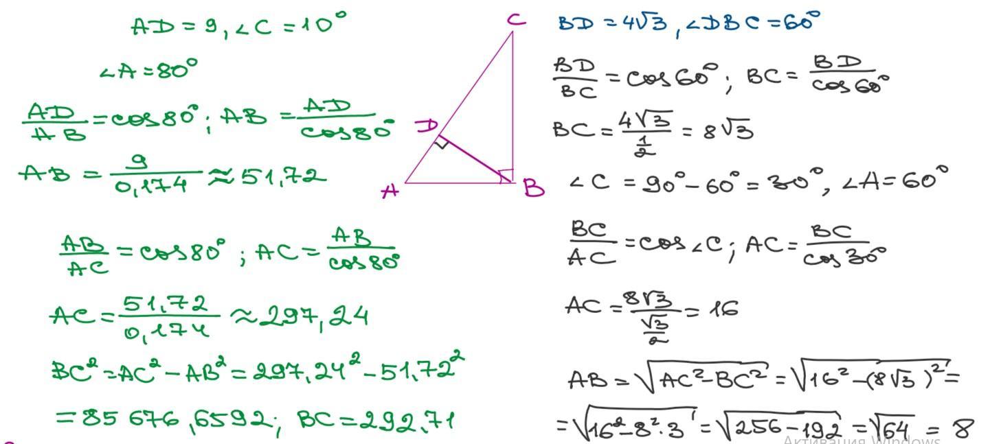
732. Отрезок BD высота прямоугольного треугольника АВС, прове-
денная к гипотенузе. Решите треугольник АВС, если:
a) BD=4√3, <DBC=60°;
б) AD=9, <C=10°.

734. Основания прямоугольной трапеции равны 8 и 12, а тупой
угол 110°. Найдите боковые стороны трапеции.
-
736. Тень от столба высотой 11 м равна 4,4 м. Выразите в градусах
высоту Солнца над горизонтом.
-​

Ответы

Ответ дал: математик2011
1

Ответ:

ответ на фото

Объяснение:

Приложения:
Вас заинтересует