• Предмет: Математика
  • Автор: Sodochka
  • Вопрос задан 2 года назад

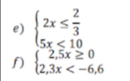
помогите с заданиями

Приложения:

Ответы

Ответ дал: Universalka
1

\displaystyle\bf\\e)\\\\\left \{ {{2x\leq \dfrac{2}{3} } \atop {5x < 10}} \right. \  \ \Rightarrow \  \ \left \{ {{x\leq \dfrac{1}{3} } \atop {x < 2}} \right.   \  \ \Rightarrow \  \ x\leq \frac{1}{3} \\\\\\Otvet \ : \ x\in\Big(-\infty \ ; \ \frac{1}{3} \Big]\\\\f)\\\\\left \{ {{2,5x\geq 0} \atop {2,3x < -6,6}} \right. \  \ \Rightarrow \  \ \left \{ {{x\geq 0} \atop {x < -2\dfrac{20}{23} }} \right. \\\\\\Otvet  : \ x\in \oslash

Вас заинтересует