Ответы
Ответ дал:
0
Ответ:
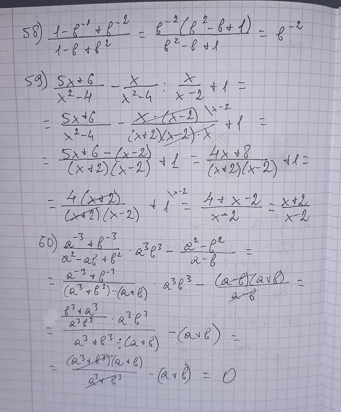
58) A (b^(-2))
59) В ((x+2)/(x-2))
60) C (0)
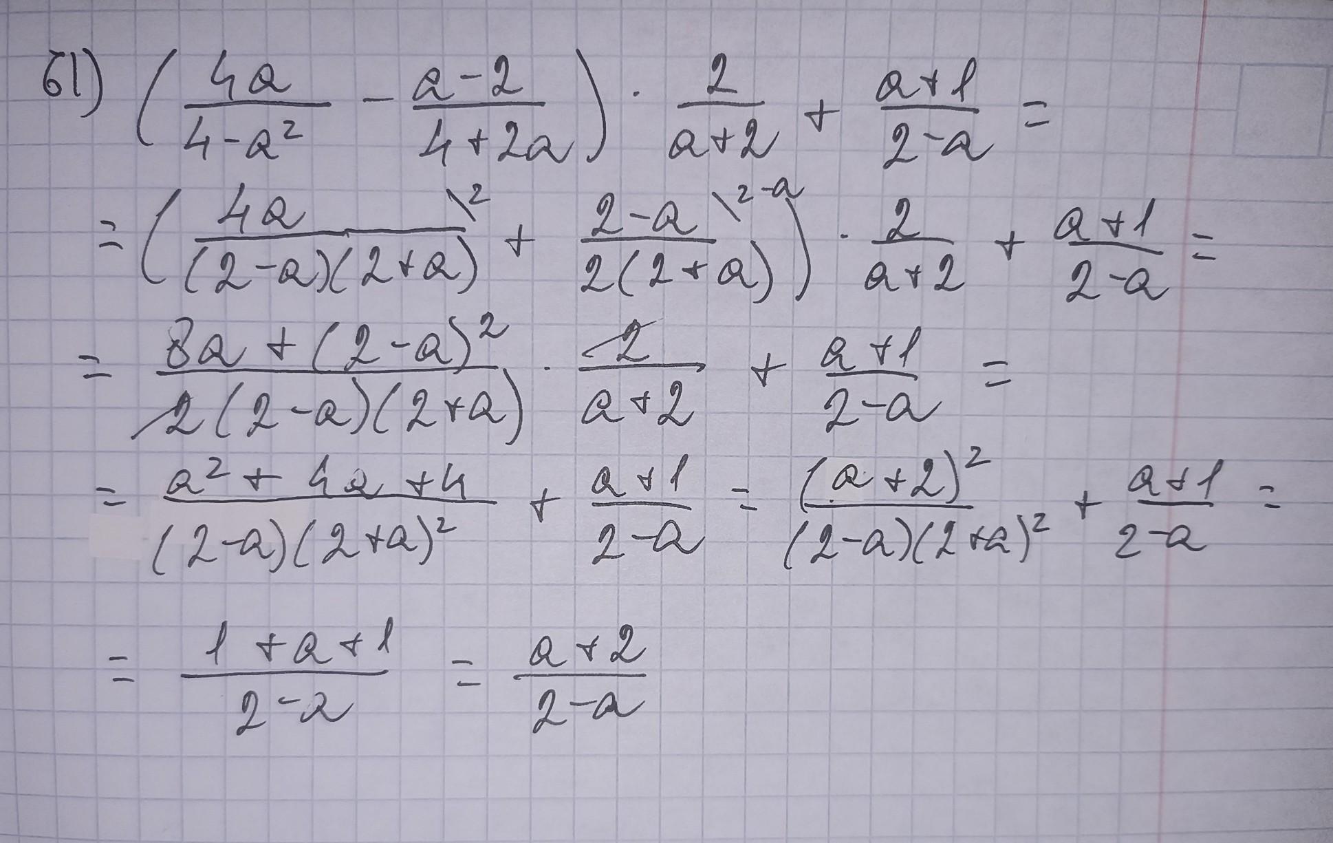
61) D ((2+a)/(2-a))
Объяснение:
на фото (2 штуки)
Приложения:


Вас заинтересует
1 год назад
1 год назад
1 год назад
2 года назад
2 года назад
8 лет назад