Ответы
Ответ дал:
0
Ответ:
62) A (-18/19)
63) A (14/47)
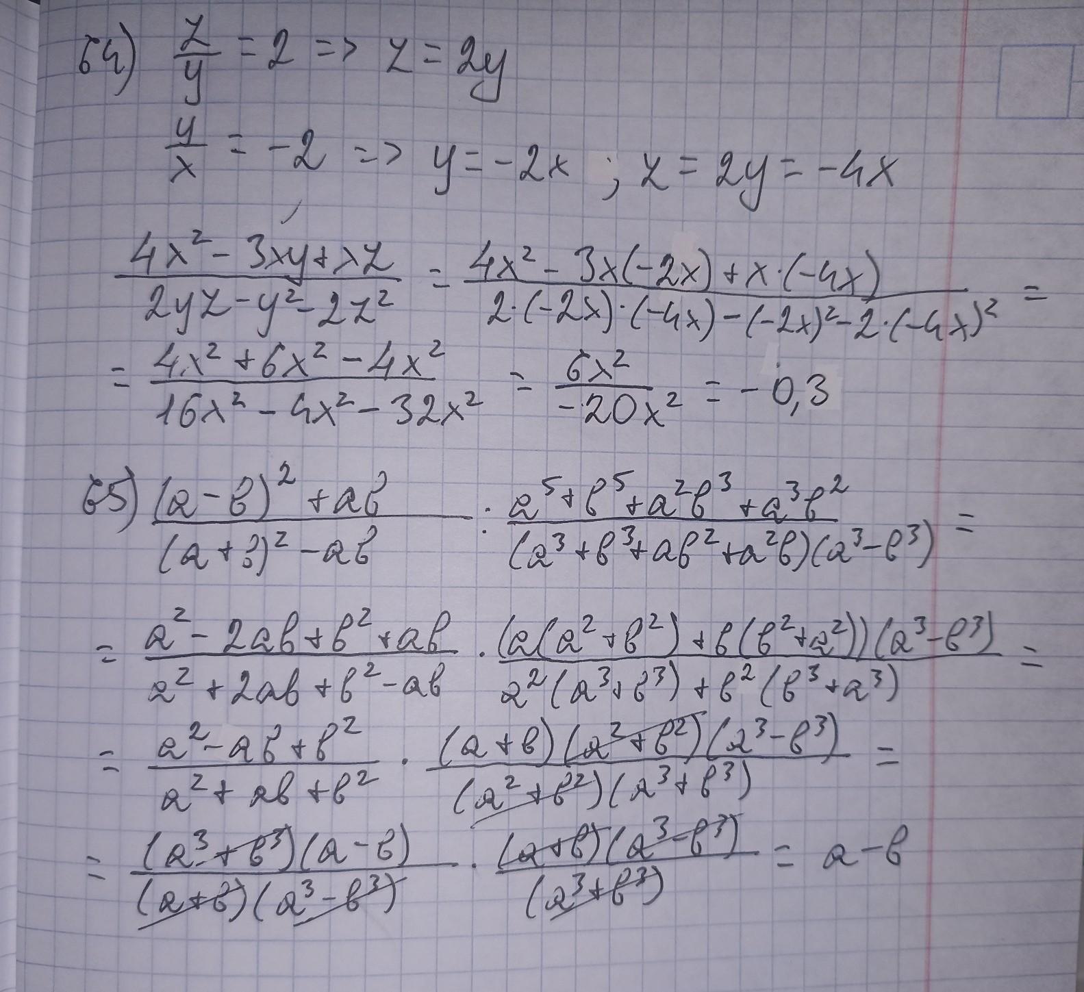
64) С (-0.3)
65) С (a-b)
Объяснение:
на фото (2 штуки)
Приложения:


Вас заинтересует
1 год назад
1 год назад
1 год назад
2 года назад
8 лет назад