• Предмет: Алгебра
  • Автор: ВладимирБ
  • Вопрос задан 1 год назад

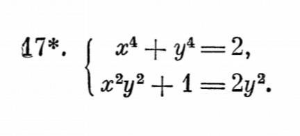
Решите систему уравнений

Приложения:

ГАЗ52: (1;1)
(-1;-1)
(-1;1)
(1;-1)
ВладимирБ: Это ответ, но не решение :))
Alexandr130398: самое простое - это наверное сделать замену m=x^2 и n=y^2, тогда m,n>0. Построить графики окружности и гиперболы и увидеть одну точку пересечения в первой четверти (1;1) при обратной замене и получится 4 решения
Alexandr130398: аналитически дольше
antonovm: нет

Ответы

Ответ дал: antonovm
2

Ответ:

( 1 ; 1)  ;  ( -1 ; 1 ) ; ( 1 ; -1 ) ; ( -1 ; -1 )

Объяснение:

Приложения:

ВладимирБ: Спасибо
Alexandr130398: А в какой программе это решение сделали? Я только геогебру знаю, где есть Latex, но качество картинок не нравится(
antonovm: это ворд + фото
Alexandr130398: аааа, ну ладно
Ответ дал: Alexandr130398
2

Ответ:

(-1;-1), (-1;1), (1;-1), (1;1)

Объяснение:

Приложения:
Вас заинтересует