• Предмет: Химия
  • Автор: moka20087
  • Вопрос задан 2 года назад

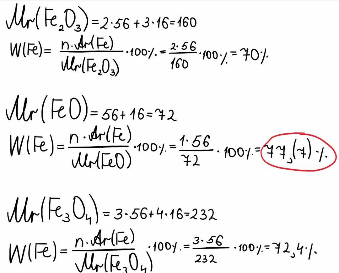
13. В каком оксиде больше железа: Fe2O3; FeO; Fe3O4

Ответы

Ответ дал: Abubachir555
0

В FeO, удачи!!!!!!!!!!!!!!!!!!!

Приложения:
Вас заинтересует