• Предмет: Математика
  • Автор: danilobilyak5
  • Вопрос задан 2 года назад

СРОЧНО! Прошу розвʼяжіть логарифми ті що виділено оранжевим

Приложения:

Ответы

Ответ дал: aarr04594
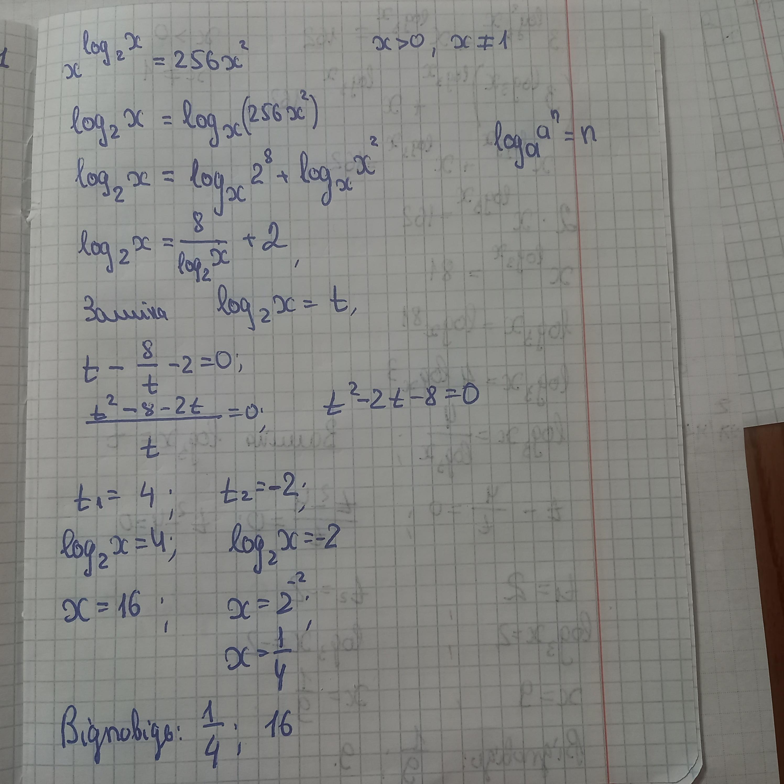
1

Відповідь:

Покрокове пояснення:

розв'язання завдання додаю.

Приложения:
Вас заинтересует