• Предмет: Математика
  • Автор: Sodochka
  • Вопрос задан 1 год назад

СРОЧНО ПОМОГИТЕ С ЭТИМИ ЗАДАНИЯМИ ДАЮ 53 БАЛЛА

Приложения:

Ответы

Ответ дал: snqwe
1

Ответ:

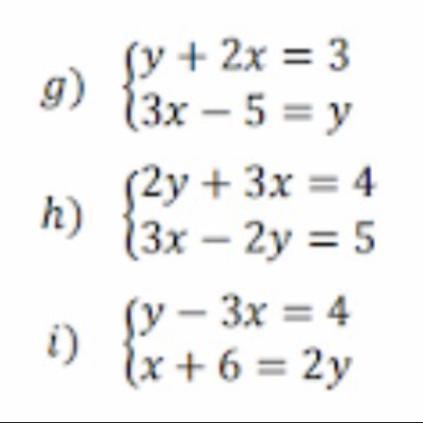
g)

y+2x=3

3x-5=y

Поскольку "y" выражен во втором уравнении, нам нужно подставить его в первое.

3x-5+2x=3

5x=3+5

5x=8

x=8/5

y=(8/5)*3-5= -1/5

h)

2y+5+2y=4

4y=4-5

y= -1/4

3x=5+2*(-1/4)

x=3/2

i)

Выражаем "y".

y=4+3x

Подставляем его во второе уравнение.

x+6=(4+3x)*2

x+6=8+6x

5x=-2

x= -2/5

y=4+3*(-2/5)

y=14/15

Ответ дал: iramazurk
1

Ответ:

Пошаговое объяснение:

g)

{у + 2х = 3

{3х - 5 = у


{2х + у = 3

{3х - у = 5


{5х = 8

{2х + у = 3


1)

5х = 8

х = 8 : 5

х = 1,6


2)

2х + у = 3

2 * 1,6 + у = 3

3,2 + у = 3

у = 3 - 3,2

у = -0,2

Ответ: (1,6; -0,2)


h)

{2y + 3x = 4
{3x - 2y = 5


{3x + 2y = 4

{3x - 2y = 5


{6х = 9

{3х + 2у = 4


1)

6х = 9

х = 9 : 6

х = 1,5

2)

3х + 2у = 4

3 * 1,5 + 2у = 4

4,5 + 2у = 4

2у = 4 - 4,5

2у = -0,5

у = -0,5 : 2

у = -0,25

Ответ: (1,5; -0,25)


i)

{у - 3х = 4

{х + 6 = 2у


{-3х + у = 4

{х - 2у = -6 | * 3


{-3х + у = 4

{3х - 6у = -18


{-5у = -14

{3х - 6у = -18


1)

-5у = -14

у = -14 : (-5)

у = 2,8


2)

3х - 6у = -18

3х - 6 * 2,8 = -18

3х - 16,8 = -18

3х = -18 + 16,8

3х = -1,2

х = -1,2 : 3

х = -0,4

Ответ: (-0,4; 2,8)

Вас заинтересует