• Предмет: Алгебра
  • Автор: yolo30
  • Вопрос задан 2 года назад

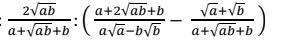
Спростити вираз: ...........................

Приложения:

Ответы

Ответ дал: 7x8
1

Ответ:

\frac{a-\sqrt{ab}}{\sqrt{a}+\sqrt{b}}

Объяснение:

\frac{2\sqrt{ab}}{a+\sqrt{ab}+b}: \left(\frac{a+2\sqrt{ab}+b}{a\sqrt{a}-b\sqrt{b}}-\frac{\sqrt{a}+\sqrt{b}}{a+\sqrt{ab}+b}\right)=

-------------------

x^3-y^3=(x - y)(x^2 + xy + y^2)

x^2 + xy + y^2=\frac{x^3-y^3}{x-y}

-------------------

\frac{2\sqrt{ab}}{a+\sqrt{ab}+b}: \left(\frac{a+2\sqrt{ab}+b}{a\sqrt{a}-b\sqrt{b}}-\frac{\sqrt{a}+\sqrt{b}}{\frac{\sqrt{a^3}-\sqrt{b^3}}{\sqrt{a}-\sqrt{b}}}\right)=

\frac{2\sqrt{ab}}{a+\sqrt{ab}+b}: \left(\frac{a+2\sqrt{ab}+b}{\sqrt{a^3}-\sqrt{b^3}}-\frac{(\sqrt{a}+\sqrt{b})(\sqrt{a}-\sqrt{b})}{\sqrt{a^3}-\sqrt{b^3}}\right)=

\frac{2\sqrt{ab}}{a+\sqrt{ab}+b}: \left(\frac{a+2\sqrt{ab}+b}{\sqrt{a^3}-\sqrt{b^3}}-\frac{a-b}{\sqrt{a^3}-\sqrt{b^3}}\right)=

\frac{2\sqrt{ab}}{a+\sqrt{ab}+b}: \frac{a+2\sqrt{ab}+b-a+b}{\sqrt{a^3}-\sqrt{b^3}}=

\frac{2\sqrt{ab}}{a+\sqrt{ab}+b}: \frac{2\sqrt{ab}+2b}{\sqrt{a^3}-\sqrt{b^3}}=

\frac{2\sqrt{ab}}{a+\sqrt{ab}+b}\cdot \frac{\sqrt{a^3}-\sqrt{b^3}}{2\sqrt{ab}+2b}=

\frac{2\sqrt{ab}}{a+\sqrt{ab}+b}\cdot \frac{\sqrt{a^3}-\sqrt{b^3}}{2(\sqrt{ab}+b)}=

\frac{2\sqrt{ab}}{a+\sqrt{ab}+b}\cdot \frac{(\sqrt{a}-\sqrt{b})(a+\sqrt{ab}+b)}{2(\sqrt{ab}+b)}=

\frac{\sqrt{ab}}{1}\cdot \frac{\sqrt{a}-\sqrt{b}}{\sqrt{ab}+b}=

\frac{\sqrt{ab}(\sqrt{a}-\sqrt{b})}{\sqrt{ab}+b}=

\frac{a\sqrt{b}-b\sqrt{a}}{\sqrt{ab}+b}=

\frac{a\sqrt{b}-b\sqrt{a}}{\sqrt{ab}+b}\cdot\frac{\sqrt{b}}{\sqrt{b}}=

\frac{ab-b\sqrt{ab}}{b\sqrt{a}+b\sqrt{b}}=

\frac{b(a-\sqrt{ab})}{b(\sqrt{a}+\sqrt{b})}=

\frac{a-\sqrt{ab}}{\sqrt{a}+\sqrt{b}}

Вас заинтересует