Ответы
Ответ дал:
0
Ответ:
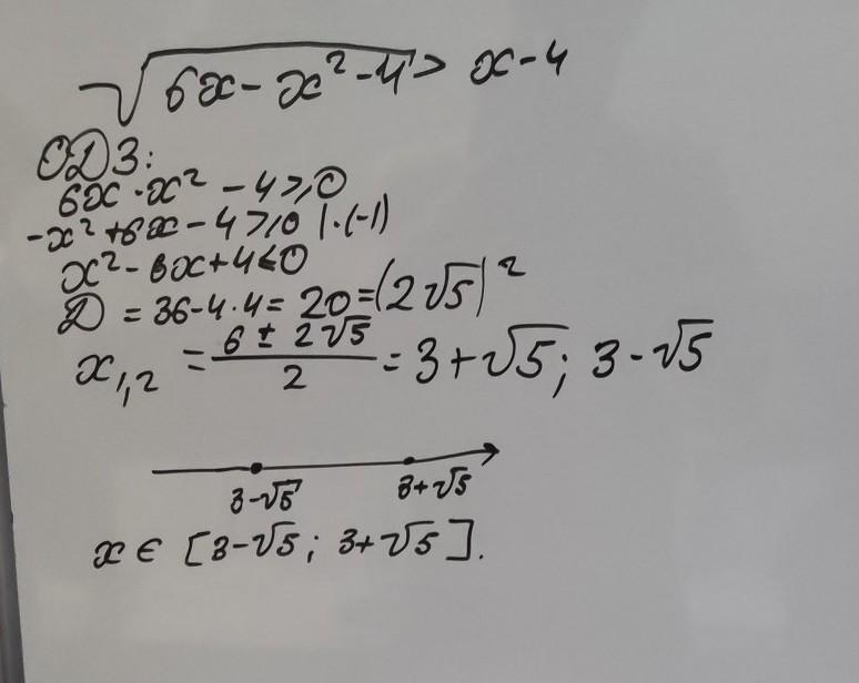
ответ смотрите на фотографии.
Пошаговое объяснение:
Для начала найдём ОДЗ(смотри на 1 фотографии). Решим это уравнение, возведем в квадрат обе части.
Приложения:


Вас заинтересует
1 год назад
1 год назад
2 года назад
2 года назад
8 лет назад